Top.Mail.Ru
Кейсы и новости

Кто первый, того и лиды: Авито Ads, как мы запускали рекламу для застройщика в новом рекламном кабинете

Несколько месяцев назад Авито сделало то, чего от него давно ждали: выкатило собственный рекламный кабинет Avito Ads. По сути, ребята решили, что хватит делиться трафиком, вежливо попросили объявления Яндекса «на выход» и создали свою песочницу с очень знакомыми форматами.
Мы в тот же день, создали кабинет для нашего клиента-застройщика и начали...тестировать.
Мы прогнали через систему все, что горело, сверкало и кликалось. В этой статье мы делимся опытом, что из этого вышло.

Что за зверь этот Avito Ads? Краткая экскурсия

Давайте быстро пробежимся по тому, как устроен кабинет.
Сначала о важном: если раньше доступ в кабинет был открыт только для ООО, то с октября к вечеринке разрешили присоединиться и ИП. Регистрация простая, так что этот этап мы пропустим.

Модели оплаты и форматы

1. Оплата за показы (CPM)

Это ваша история, если нужно раскачать медийку, повысить узнаваемость бренда и просто "чтобы красиво". Показываетесь много, платите за каждую тысячу показов.
Форматы баннеров:
  • Медийный премиум
  • Медийный стандарт
  • Видео
  • HTML 5 (для тех, кто любит посложнее)

2. Оплата за клик (CPC)

Это классика для тех, кому нужны лиды. Мне, пожалуйста, не позырить, а заявку.
Формат: Нативный
Все это крутится и на десктопе, и в мобильных версиях.
Ключевой момент: CPC-объявления в нативном формате выглядят точь-в-точь как обычные объявления на Авито. Это одновременно и плюс, и минус.
  • Плюс: Вызывает больше доверия, не выглядит как «кричащая» реклама.
  • Минус: Может затеряться в общей массе, если креатив не цепляет.

Крутим гайки: Настройки и таргетинг

С форматами разобрались, лезем «под капот» кампании.
Бюджет: Можно распределять равномерно (удобно, чтобы не слить все за час в погоне за первым лидом) или выставить «максимум показов/кликов» для самых нетерпеливых.
Настройки таргета:
  • По регионам (от городов до деревень)
  • По возрасту
  • По интересам (там есть подкатегории)
  • По уровню дохода
Настройка креатива:
  • Само изображение/видео (разных форматов)
  • Логотип (по желанию)
  • Заголовок (до 30 знаков – краткость сестра таланта)
  • Подзаголовок (до 45 знаков – тут уже можно чуть разгуляться)
Дальше скучное, но важное: ссылка на посадку, пиксель (если есть), информация по маркировке, правовая информация и классификатор (ККТУ).
Для застройщиков (как наш клиент): Авито просит загрузить документы, подтверждающие вашу честность — разрешение на строительство, проектную декларацию и т.д. Это правильно, рынок должен быть цивилизованным.

Наш кейс: Запускаем застройщика на «тестовые» 300 000 ₽

Итак, теория позади, переходим к практике.

Дано:

  • Клиент: Застройщик (региональный, но амбициозный).
  • Задача: Получить лиды (заявки) на покупку квартир.
  • Инструмент: Новый кабинет Avito Ads.
  • Бюджет на тест: 300 000 рублей.
  • Посадка: Квиз. (Кстати, из нашего опыта знаем, что Авито не любит, когда льют на маркетплейсы, а вот квизы и лендинги — без проблем).
Мы быстро настроили кампании, используя самые релевантные категории интересов (Недвижимость, новостройки и т. д.), и нажали «Старт».
Сейчас в выборе интересов и подаче креатива мы начали бить в разные ЦА, потому что трафик явно стал дороже.

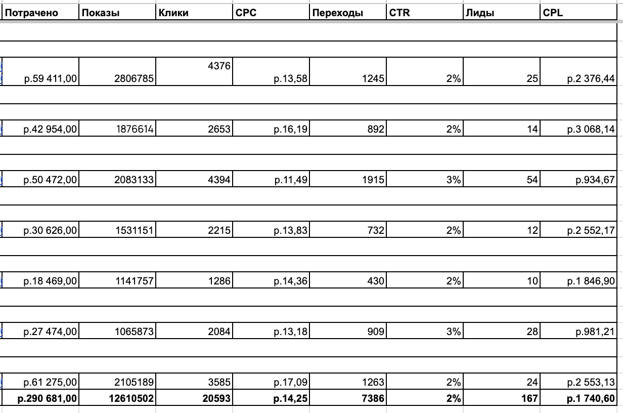
Что же мы получили после первого запуска?

Потрачено — 290 681,00 ₽

Показы — 12 610 502

Клики — 20 593

CPC (Цена клика) — 14,25 ₽

Лиды (заявки) — 167 (CRM не покажем, поверьте на слово)

CPL (Цена лида) — 1740 ₽

Честно? Мы ждали подвоха.

Первая мысль была: "Ну все, сейчас выгребем тонну ботов и нецелевого трафика". Но после проверки... ботов не обнаружили. Лиды были живые

В чем же секрет такого успеха?

Все просто, и мы даже не будем приписывать себе лавры гениев. Когда мы запускались, мы были одними из первых. Аукцион был холодный и пустой. Мы просто пришли и забрали самый дешевый трафик.

А что сейчас? Реальность vs Ожидания

«Все это круто»- скажете вы, — «но это было тогда». Что сейчас?
Сейчас картина, конечно, поменялась. Набежали другие рекламодатели, аукцион разогрелся, ставки выросли. Лавочка «лиды по 1700» для застройщика в этом сегменте немного прикрылась.
Но есть два «но»:
  1. Регионы: Если в Москве и Питере уже тесно, то в регионах аукцион все еще позволяет получать клиентов по очень вменяемым ценам.
  2. Стабильность: Для нашего клиента лиды на данный момент выходят в районе 3000 рублей. Да, это дороже, чем на старте. Но самое главное, что это стабильный и прогнозируемый поток качественных заявок. А в недвижимости стабильность — это уже половина успеха.

Вердикт: Стоит ли игра свеч?

Однозначно да. Avito Ads — это не мимолетный хайп, а полноценный, взрослый рекламный инструмент, который занял свою нишу. Он не заменит вам все остальные каналы, но станет отличным дополнением.
  • Хотите узнаваемость? Берите CPM и медийку.
  • Нужны лиды? Заходите в CPC, готовьте сочные креативы и тестируйте интересы.
Главное — не ждите, что аукцион снова остынет. Он не остынет.
Новости